Издательство: Атамура
Электронный учебникПодробное решение Геометрия 7 класс, авторов Шыныбеков А.Н, Шыныбеков Д.А.. 2025, Упражнение 1.39
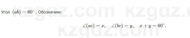
СОР/СОЧ Геометрия 7 класс Решение ниже ↓Раздел 1. НАЧАЛЬНЫЕ ПОНЯТИЯ И АКСИОМЫ ПЛАНИМЕТРИИ Упражнения Упражнение 1.39
60 сек
Смотрите решение
без ожидания
Настроить поиск
60 сек
Смотрите решение
без ожидания
Настроить поиск
