Издательство: Мектеп
Электронный учебникПодробное решение Геометрия 7 класс, авторов Смирнов В.А., Туяков Е.А 2025, Проверь себя 11
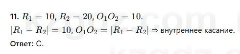
СОР/СОЧ Геометрия 7 класс Решение ниже ↓Глава IV. ОКРУЖНОСТЬ. ГЕОМЕТРИЧЕСКИЕ ПОСТРОЕНИЯ Проверь себя Проверь себя 11
60 сек
Смотрите решение
без ожидания
Настроить поиск
