ГДЗ Дайын үй жұмыстары Решебник к учебнику: Алгебра Шыныбеков 7 класс 2025 Упражнение 4.2 Упражнения

Издательство: Атамура

Электронный учебник

Подробное решение Алгебра 7 класс, авторов А. Н. Шыныбеков, Д. А. Шыныбеков, Л.Е. Амалбекова 2025, Упражнение 4.2

СОР/СОЧ Алгебра 7 класс Решение ниже ↓

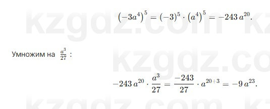
Раздел 4. Элементы статистики Упражнения Упражнение 4.2

Алгебра Шыныбеков 7 класс 2025 Упражнение 4.2 Алгебра Шыныбеков 7 класс 2025 Упражнение 4.2

Раздел 3. Функция

3.1. Функция и способы ее задания

3.1.1. Понятие функции

3.1 3.2 3.3 3.4 3.5 3.6 3.7 3.8 3.9 3.1 3.11 3.12 3.13 3.14 3.15 3.16 3.17 3.18 3.19 3.2 3.21 3.22 3.23

3.1.2. Задание функции с помощью таблицы и графика

3.24 3.25 3.26 3.27 3.28 3.29 3.3 3.31 3.32 3.33 3.34 3.35 3.36 3.37 3.38 3.39

3.2. Линейная функция и ее график

3.2.1-3.2.2. Функция у = kx + b и ее график

3.4 3.41 3.42 3.43 3.44 3.45 3.46 3.47 3.48 3.49 3.5 3.51 3.52 3.53 3.54 3.55 3.56 3.57 3.58 3.59 3.6 3.61 3.62 3.63 3.64

3.2.3-3.2.4. Расположение прямых относительно осей координат

3.65 3.66 3.67 3.68 3.69 3.7 3.71 3.72 3.73 3.74 3.75 3.76 3.77 3.78 3.8 3.81 3.82 3.83

3.3. Решение системы линейных уравнений графическим способом

3.3.1-3.3.2. Решение системы линейных уравнений графическим способом

3.84 3.85 3.86 3.87 3.88 3.89 3.9 3.91 3.92 3.93 3.94 3.95 3.96 3.97 3.98 3.99 3.1 3.101

3.4. Функции у = ax², у = ax³ и их графики

3.4.1-3.4.2. Функция у = ах³ и ее график

3.102 3.103 3.104 3.105 3.106 3.107 3.108 3.109 3.11 3.111 3.112 3.113 3.114 3.115 3.116 3.117 3.118 3.119 3.12 3.121 3.122 3.123 3.124 3.125 3.126 3.127 3.128 3.129 3.13 3.131 3.132 3.133 3.134 3.135 3.136

3.5. Функция у = k/x и ее график

Упражнения

3.137 3.138 3.139 3.14 3.141 3.142 3.143 3.144 3.145 3.146 3.147 3.148 3.149 3.15 3.151 3.152 3.153 3.154 3.155 3.156 3.157

Тесты к разделу «Функция»

Тесты

3.1 3.2 3.3 3.4 3.5 3.6 3.7 3.8 3.9 3.1

Раздел 4. Элементы статистики

4.1. Генеральная совокупность и выборка

Упражнения

4.1 4.2 4.3 4.4 4.5 4.6 4.7 4.8 4.9 4.1 4.11 4.12 4.13 4.14 4.15 4.16 4.17 4.18 4.19 4.2 4.21

4.2. Полигоны абсолютных и относительных частот

Упражнения

4.22 4.23 4.24 4.25 4.26 4.27 4.28 4.29 4.33 4.34 4.35 4.36 4.37 4.38 4.4 4.41

Тесты к разделу «Элементы статистики»

Тесты

4.1 4.2 4.3 4.4 4.5 4.6 4.7

Итоговый тест (QR)

Упражнения

8.1 8.2 8.3 8.4 8.5 8.6 8.7 8.8 8.9 8.1 8.11 8.12 8.13 8.14 8.15 8.16 8.17 8.18 8.19 8.2