ГДЗ Дайын үй жұмыстары Решебник к учебнику: Алгебра Абылкасымова 7 класс 2025 Упражнение 20.7 Упражнения

Издательство: Мектеп

Электронный учебник

Подробное решение Алгебра 7 класс, авторов Абылкасымова А.Е., Кучер Т.П., Корчевский В.Е., Жумагулова З.А. 2025, Упражнение 20.7

СОР/СОЧ Алгебра 7 класс Решение ниже ↓

Раздел III. ФУНКЦИЯ. ГРАФИК ФУНКЦИИ Упражнения Упражнение 20.7

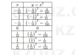
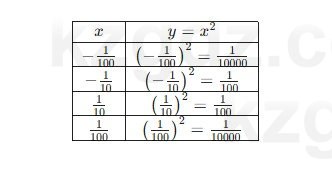
Алгебра Абылкасымова 7 класс 2025 Упражнение 20.7 Алгебра Абылкасымова 7 класс 2025 Упражнение 20.7 Алгебра Абылкасымова 7 класс 2025 Упражнение 20.7 Алгебра Абылкасымова 7 класс 2025 Упражнение 20.7 Алгебра Абылкасымова 7 класс 2025 Упражнение 20.7 Алгебра Абылкасымова 7 класс 2025 Упражнение 20.7

Раздел III. ФУНКЦИЯ. ГРАФИК ФУНКЦИИ

§18. Функция

Упражнения

18.1 18.2 18.3 18.4 18.5 18.6 18.7 18.8 18.1 18.11 18.12

§19. Задание функции с помощью формулы

Упражнения

19.1 19.2 19.3 19.4 19.5 19.6 19.7 19.8 19.9 19.1 19.11 19.12

§20. Табличный способ задания функции

Упражнения

20.1 20.2 20.3 20.4 20.5 20.6 20.7 20.8 20.9

§21. Графический способ задания функции

Упражнения

21.1 21.2 21.3 21.4 21.5 21.6 21.7 21.8 21.9 21.1

§22. Линейная функция и ее график

Упражнения

22.1 22.2 22.3 22.4 22.5 22.6 22.7 22.8 22.9 22.1 22.11 22.12 22.13 22.14 22.15

§23. Взаимное расположение графиков линейных функций

Упражнения

23.1 23.2 23.3 23.4 23.5 23.6 23.7 23.8 23.9 23.1 23.11 23.12 23.13 23.14 23.15 23.16

§24. Решение системы двух линейных уравнений с двумя переменными графическим способом

Упражнения

24.1 24.2 24.3 24.4 24.5 24.6 24.7 24.8 24.9 24.1 24.11

§25. Функция у = ax2 (а + 0), ее график и свойства

Упражнения

25.1 25.2 25.4 25.5 25.9 25.12

§26. Функция у = ах3 (а # 0), ее график и свойства

Упражнения

26.1 26.2 26.3 26.4 26.5 26.6 26.7 26.9 26.1 26.11 26.12

§27. Функция у = k/x(k # 0), ее график и свойства

Упражнения

27.1 27.2 27.3 27.4 27.5 27.6 27.7 27.8 27.1 27.11 27.12 27.13

Проверь себя!

Проверь себя

3.1 3.2 3.3 3.4 3.5 3.6 3.7 3.8 3.9 3.1 3.11 3.12 3.13

Раздел IV. ЭЛЕМЕНТЫ СТАТИСТИКИ

§28. Вариационные ряды

Упражнения

28.1 28.2 28.3 28.4 28.5 28.8

§29. Абсолютная частота и относительная частота. Таблица частот

Упражнения

29.1 29.2 29.3 29.5 29.7

§30. Полигон частот

Упражнения

30.1 30.2 30.3 30.4 30.5 30.7 30.8 30.9 30.1 30.11

Проверь себя!

Проверь себя

4.1 4.2 4.3 4.4 4.5 4.6